Home » Integral Of Root Tanx Dx » Integral Of Root Tanx Dx
Integral Of Root Tanx Dx
The fourier transform is one of deepest insights ever made.
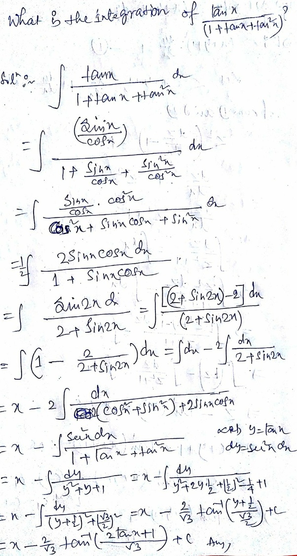
Integral of root tanx dx. September 7 2017 update. Step by step solutions has been updated. Have you ever given up working on a math problem because you couldnt figure out the.







.png)
.png)











.png)













.png)







