» » Integration Of Log Xx Dx

Integration Of Log Xx Dx

ads/responsive.txt

ads/responsive.txt
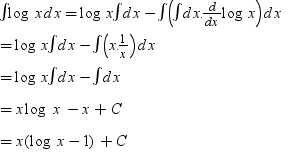
What Is The Integral Of Log X Quora

What Is The Integral Of Log X Quora

Ex 7 6 5 Integrate X Log 2x Chapter 7 Class 12 Ex 7 6

Ex 7 6 5 Integrate X Log 2x Chapter 7 Class 12 Ex 7 6

Find The Integral Of X Log X Stumbling Robot

Find The Integral Of X Log X Stumbling Robot

How To Integrate 1 X Logx Quora

How To Integrate 1 X Logx Quora

Solved Integrate Log X 2 X 3 Dx Integral Sin 3 X C

Solved Integrate Log X 2 X 3 Dx Integral Sin 3 X C

What Is The Value Of Integration Logx Quora

What Is The Value Of Integration Logx Quora

Example 36 Evaluate Definite Integral Log Sin X Dx Examples

Example 36 Evaluate Definite Integral Log Sin X Dx Examples

Integrate X Logx 2 Dx Math 3733359 Meritnation Com

Integrate X Logx 2 Dx Math 3733359 Meritnation Com

Ex 7 2 2 Integrate Log X 2 X Chapter 7 Ncert Ex 7 2

Ex 7 2 2 Integrate Log X 2 X Chapter 7 Ncert Ex 7 2

Solved Evaluate Integer Log X Dx Using Integration By Par

Solved Evaluate Integer Log X Dx Using Integration By Par

How To Integrate F Log Sin X Dx Math Integrals 766517

How To Integrate F Log Sin X Dx Math Integrals 766517

Integrating Log X Learnmathsfree Youtube

Integrating Log X Learnmathsfree Youtube

Find The Integral Of Log X 2 Stumbling Robot

Find The Integral Of Log X 2 Stumbling Robot

Integrate Log 1 X 1 X2 Dx Upper Limit 1 Lower Limit 0 Brainly In

Integrate Log 1 X 1 X2 Dx Upper Limit 1 Lower Limit 0 Brainly In

Example 40 Evaluate Log Log X 1 Log X 2 Dx Examples

Example 40 Evaluate Log Log X 1 Log X 2 Dx Examples

Pls Help Integrate Log Log X 1 Log X

Pls Help Integrate Log Log X 1 Log X

Integration X Log X 1 Dx Explain In Great Detail And Give Full

Integration X Log X 1 Dx Explain In Great Detail And Give Full

Misc 8 Integrate E5 Log X E4 Log X E3 Log X E2 Log X

Misc 8 Integrate E5 Log X E4 Log X E3 Log X E2 Log X

Integration Of Logx X Dx Brainly In

Integration Of Logx X Dx Brainly In

Integration 1 Log X 1 Log X 2 Dx Explain In Great Detail And Give

Integration 1 Log X 1 Log X 2 Dx Explain In Great Detail And Give

Can Any Ine Tell The Integration Of Log X And 1a Logx Math

Can Any Ine Tell The Integration Of Log X And 1a Logx Math

Bsc Computer Science Unit 2 Discrete Mathematics

Bsc Computer Science Unit 2 Discrete Mathematics

Video 1959 Differentiate Log Base 2 And Integrate Log Base 2

Video 1959 Differentiate Log Base 2 And Integrate Log Base 2

Ex 7 2 3 Integrate 1 X X Log X Class 12 Ncert

Ex 7 2 3 Integrate 1 X X Log X Class 12 Ncert

What Is The Integral Of Logx X 2 Dx With Limits From 1 To Quora

What Is The Integral Of Logx X 2 Dx With Limits From 1 To Quora

Ex 7 2 3 Integrate 1 X X Log X Class 12 Ncert

Ex 7 2 3 Integrate 1 X X Log X Class 12 Ncert

How To Integrate F Log Sin X Dx Math Integrals 766517

How To Integrate F Log Sin X Dx Math Integrals 766517

Integration Of Log X 1 Logx 2

Integration Of Log X 1 Logx 2

Indefinite Integration 7 Sin Log X Very Important For Cbse

Indefinite Integration 7 Sin Log X Very Important For Cbse

12 X1 T06 01 Integration Using Substitution 2012

12 X1 T06 01 Integration Using Substitution 2012

Misc 24 Integrate Root X2 1 Log X2 1 2 Log X X4

Misc 24 Integrate Root X2 1 Log X2 1 2 Log X X4

What Is The Integration Of Log 1 Tanx Quora

What Is The Integration Of Log 1 Tanx Quora

Integral Calculus 140509 Integrate Log Sinx Cosx Dx From Pi

Integral Calculus 140509 Integrate Log Sinx Cosx Dx From Pi

Definite Integration Of Log Sinx 0 To Pi 2 Class Xii Youtube

Definite Integration Of Log Sinx 0 To Pi 2 Class Xii Youtube

Integrate 1 X Cos 2 Log X Dx Brainly In

Integrate 1 X Cos 2 Log X Dx Brainly In

Integral From 0 To P Xlog Sinx Dx Studyrankersonline

Integral From 0 To P Xlog Sinx Dx Studyrankersonline

Integration Log Log X 1 Log X 2 Dx Explain In Great Detail T8e2ofbb

Integration Log Log X 1 Log X 2 Dx Explain In Great Detail T8e2ofbb

Integration Of 0 To Infinite Log X 1 X Logsinx Cbse Xii Ncert

Integration Of 0 To Infinite Log X 1 X Logsinx Cbse Xii Ncert

Find The Integral Of Xn Log Ax Stumbling Robot

Find The Integral Of Xn Log Ax Stumbling Robot

Ex 7 11 16 Evaluate Definite Integral Log 1 Cos X Dx

Ex 7 11 16 Evaluate Definite Integral Log 1 Cos X Dx

How To Integrate 1 X Logx Quora

How To Integrate 1 X Logx Quora

Natural Logarithm Wikipedia

Natural Logarithm Wikipedia

Contour Integration 6 Integrating Log X X 2 1

Contour Integration 6 Integrating Log X X 2 1

12 X1 T01 03 Integrating Derivative On Function 2013

12 X1 T01 03 Integrating Derivative On Function 2013

Wolframalpha Calculus

Wolframalpha Calculus

What Is The Integration Of Cos 2 Logx X Math Integrals

What Is The Integration Of Cos 2 Logx X Math Integrals

Solution For Integrate The Functions X Log X 2 Cbse Science

Solution For Integrate The Functions X Log X 2 Cbse Science

Solved Calculate The Below Integrals Using Integration By

Solved Calculate The Below Integrals Using Integration By